目录
Venturimeter是什么?
            风量计是一种用来测量流体流过管道的流速的装置。
           
           文丘里仪主要部件
            风量仪的主要部件有:
           
           
           
           
           - 短的汇合部分:流体就是在文丘里的这部分会聚。
 - 喉咙:它是位于文丘里的收敛部分和发散部分之间的部分。喉道的横截面比收敛和发散部分的横截面小得多。当液体进入喉部时,其速度增加,压力减小。
 - 不同的部分:这是文丘里的部分(文丘里),液体得到分流。
 
文丘里仪原理
文测仪的工作原理是基于伯努利方程的原理。
            伯努利的声明:它指出,在一个稳定的,理想的流动不可压缩流体,在流体的任何一点的总能量是恒定的。总能量由压力能、动能和势能或基准能组成。
           
           
            在数学上
           
           
           
           
           
           
            这里所有的能量都是流体单位重量的能量。
           
           
           
           
           
            流体通过第1段和第2段的伯努利方程为
           
           
           
           建设
            venturimeter的结构如下图所示:
           
           
            它有三个主要部分
           
           
           
           
           
           
           
           - 短收敛部分:它是一个锥形的部分,其半径随着我们的前进而减小。
 - 喉咙:它是文丘里的中间部分。这里流体的速度增加,压强减小。它拥有最小的横截面面积。
 - 不同的部分:在这部分流体发散。
 
工作
            风量计是用来测量流经管道的流体的流速。让我们一步一步了解它是如何进行测量的。
           
           - 这里我们考虑了两个截面,第一个在进气道,第二个在喉部。用这两段压头的差值来计算通过风量计的流量。
 - 当水从入口部分进入时,即在汇聚部分,它汇聚并到达喉部。
 - 喉部具有均匀的横截面面积和最小的横截面面积。当水进入喉道时,其速度增加,由于速度增加,压力下降到最小值。
 - 现在在这两个部分有一个流体的压强差。在第1节(即在入口处,流体的压力最大,速度最小。在第2段(在喉部),流体的速度最大,压力最小。
 - 两个截面的压力差可以在两个截面的压力计上看到。
 - 这个压差用来计算流体流过管道的流速。
 
还读:
通过文氏流量计的流速表达式
            假定一个文测仪安装在水平管道上,流体(水)通过该管道流动,如下图所示。
           
           
           
           
           
           
            设d1, p1, v1, a1分别为入口处的直径,入口处的压力,入口处的速度和截面1处的面积。
           
           
           
           
           
            d2 p2 v2 a2是第2节对应的值。
           
           
            在第1节和第2节应用伯努利方程
           
           
           
           
            因为管子是水平的,所以z1 = z2
           
            因此
           
           
           
           
           
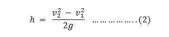
            (P1 - P2)/ρg是第1段和第2段的压头差,等于h
           
           
           
           
            将h的值代入式(1),得到
           
           
           
           
           
            现在在第1节和第2节应用连续性方程
           
           
           
           
            将v1的值代入式(2)求解,得到
           
           
           
           
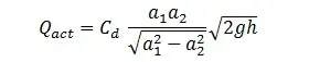
            放电
           
           
           
           
            将v2的值代入上式
           
           
           
           
           
            Q是理想条件下的理论放电。实际流量将小于理论流量。实际流量由公式给出
           
           
           
           
           
            式中Cd为风量计系数,其值小于1。
           
          
              
             
             
             
             
             
             
             
             
             
             
             
             
             
               
              
               
              
               
              
               
              
               
              
               
              
               
              
               
              